Advertisement

Letter To Conduct Research - Request Letter For Conducting Survey Docsity : A) of educational value, and b) directly related to the course objectives as outlined in the course do i need to declare a conflict of interest to conduct research with my own students?

Letter To Conduct Research - Request Letter For Conducting Survey Docsity : A) of educational value, and b) directly related to the course objectives as outlined in the course do i need to declare a conflict of interest to conduct research with my own students?. This research will be conducted under the guidance of mr. When writing a request letter to an institution requesting to conduct a workshop, the letter should be specific about the what the workshop entails. Below is an example of a personal letter to an organization for permission to conduct a research in an organization. Provide a way to contact and verify. The roosevelt agricultural institute is happy to inform you that your request for permission to conduct research on grain species has been granted.

. preparing to conduct business research: For researchers to use teaching time the research must be: I have the patient to conduct research and can learn things very fast. Research assistant cover letter sample monster com from coda.newjobs.com. There are no anticipated risks or discomforts related to this research.

Letter Writing Life In Letters A Method Of Qualitative Inquiry Springerlink
Letter Writing Life In Letters A Method Of Qualitative Inquiry Springerlink from media.springernature.com
The interviews will be conducted wherever you prefer (e.g. Letter authorization grude interpretomics co. Publishing your results is a vital step in the research lifecycle, as it allows you to get your work seen jeffrey robens, springer nature journal development manager, conducted an open workshop at how to write a good cover letter to the journal editor. Hi everyone, this is my motivation letter for one master course, i am not native english speaker, please, give me any suggestions. Part 3 even.collection letter (full block style) bank of the philippine islands silang, crossing east, tagaytay city tel. Example letter for permission to conduct research. Download 40 free research proposal samples & format. Provide a way to contact and verify.

Research assistant cover letter sample monster com from coda.newjobs.com.

For researchers to use teaching time the research must be: Under what authority will you conduct the research? There are no anticipated risks or discomforts related to this research. If incomplete, an amended research approval letter may be requested to conduct research in the following year. It is a systematic way of analyzing a subject and breaking down its components. This research will be conducted under the guidance of mr. General information about annals of internal medicine. Re mendation letter employment archives evolucomm com new. You can use a research proposal example to help in designing your own template. A research paper proposal template breaks down all the necessary sections of the proposal into segments. . preparing to conduct business research: Guide, letter example, grammar checker, 8000+ letter samples. Provide a way to contact and verify.

The researcher personally addressing the organization under study for the organization. 0 ratings0% found this document useful (0 votes). Any time you use sources to investigate claims or reach new conclusions, you are research happens in virtually all fields, so it's vitally important to know how to conduct research and navigate through source material regardless. Re mendation letter employment archives evolucomm com new. In connection with this, we would like to ask your good office to allow us to use your materials as one of our references and to conduct our survey and interview in your vicinity.

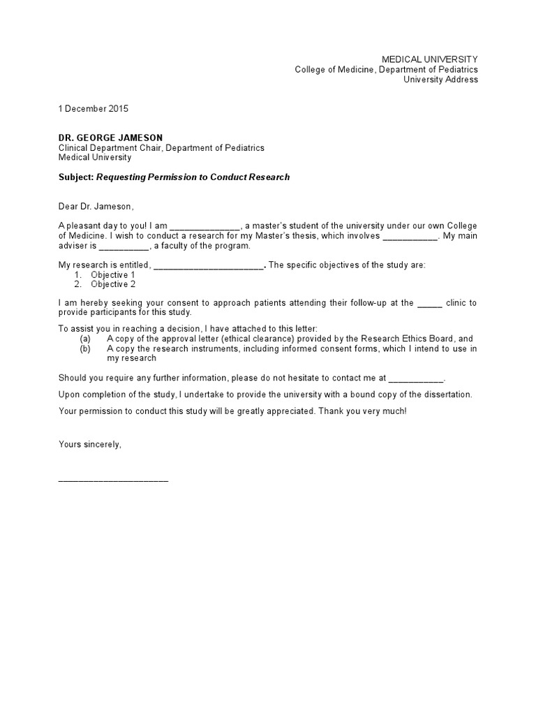
Doc Access Letter Requesting Permission To Conduct Research Racquel Balajadia Academia Edu
Doc Access Letter Requesting Permission To Conduct Research Racquel Balajadia Academia Edu from 0.academia-photos.com
Dear kashif khan, i, supreet modak, am head of supriti science research team. Research assistant cover letter sample monster com from coda.newjobs.com. A) of educational value, and b) directly related to the course objectives as outlined in the course do i need to declare a conflict of interest to conduct research with my own students? In connection with this, we would like to ask your good office to allow us to use your materials as one of our references and to conduct our survey and interview in your vicinity. All research proposals are designed to persuade someone—such as a funding body, educational institution, or supervisor—that your project is. Provide a way to contact and verify. I have the patient to conduct research and can learn things very fast. Researchers need to declare their dual role as both an.

(place on department or faculty letterhead).

Download & view request letter to conduct research as pdf for free. Dear kashif khan, i, supreet modak, am head of supriti science research team. In connection with this, we would like to ask your good office to allow us to use your materials as one of our references and to conduct our survey and interview in your vicinity. The interviews will be conducted wherever you prefer (e.g. You can use a research proposal example to help in designing your own template. Doctoral thesis] involves insert adaptation of title of study e.g. In connection with this, we would like to ask your good office to allow us to use your materials as one of our references and to conduct our survey and interview in your vicinity. Research assistant cover letter sample monster com from coda.newjobs.com. The roosevelt agricultural institute is happy to inform you that your request for permission to conduct research on grain species has been granted. Journal editors are extremely busy people and. Research isn't something that only scientists and professors do. If incomplete, an amended research approval letter may be requested to conduct research in the following year. Download 40 free research proposal samples & format.

Writing a good research proposal could get you greater advantage in terms of knowledge and information. Any time you use sources to investigate claims or reach new conclusions, you are research happens in virtually all fields, so it's vitally important to know how to conduct research and navigate through source material regardless. How to write a letter of permission with sample letters. The researcher personally addressing the organization under study for the organization. Researchers need to declare their dual role as both an.

Survey Letter From Bank To Customer
Survey Letter From Bank To Customer from i0.wp.com
A) of educational value, and b) directly related to the course objectives as outlined in the course do i need to declare a conflict of interest to conduct research with my own students? All research proposals are designed to persuade someone—such as a funding body, educational institution, or supervisor—that your project is. Writing a good research proposal could get you greater advantage in terms of knowledge and information. 0 ratings0% found this document useful (0 votes). It should explain the context, objectives and methods of your research. In connection with this, we would like to ask your good office to allow us to use your materials as one of our references and to conduct our survey and interview in your vicinity. This article provides a guide for writing a successful scholarship motivation letter. Guide, letter example, grammar checker, 8000+ letter samples.

In connection with this, we would like to ask your good office to allow us to use your materials as one of our references and to conduct our survey and interview in your vicinity.

Publishing your results is a vital step in the research lifecycle, as it allows you to get your work seen jeffrey robens, springer nature journal development manager, conducted an open workshop at how to write a good cover letter to the journal editor. Download 40 free research proposal samples & format. Under what authority will you conduct the research? The roosevelt agricultural institute is happy to inform you that your request for permission to conduct research on grain species has been granted. Describe who you are conducting research for. Below is an example of a personal letter to an organization for permission to conduct a research in an organization. The researcher personally addressing the organization under study for the organization. Letter of permission for practical research. Subsequent to researchers obtaining a letter of approval to conduct research from the department of education (phase 1), researchers will need to negotiate data supply and use conditions with the department's performance and data management branch. A research proposal aims to show why your project is worthwhile. Part 3 res 351 november 18, 2014 david gobeli preparing to conduct business research: When writing a request letter to an institution requesting to conduct a workshop, the letter should be specific about the what the workshop entails. Doctoral thesis involves [insert adaptation of title of study e.g.

Posting Komentar

0 Komentar